一維熱傳導方程, 三維熱傳導方程
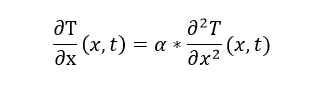
一維熱傳導方程


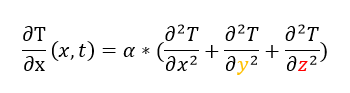
三維熱傳導方程


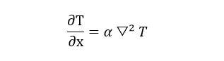
三維熱傳導方程又可以簡寫為:


一維熱傳導方程


三維熱傳導方程


三維熱傳導方程又可以簡寫為:


陸凱《贈范曄詩》
折梅逢驛使,寄與隴頭人。
江南無所有,聊贈一枝春。
陸凱(?-504年),本姓步六孤,字智君,代郡(今山西代縣)人,鮮卑族,北魏人。
非三國時吳國人鎮西大將軍、荊州牧、嘉興侯、左丞相陸凱(198-269年)。
八大碳交易交易所官網:
北京綠色交易所:北京環境交易所
上海環境能源交易所:上海環境能源交易所
廣州碳排放權交易所:廣州碳排放權交易所
湖北碳排放權交易中心:湖北碳排放權交易中心
深圳排放權交易所: 深圳排放權交易所
天津排放權交易所:天津排放權交易所有限公司
重慶碳排放權交易中心:重慶碳排放權交易中心
海峽股權交易中心:海峽股權交易中心--環境能源交易平臺
另外還有一個沒有試點碳交易市場但是可以交易CCER的交易所:
四川聯合環境交易所:四川聯合環境交易所
漁家傲?朱服
小雨纖纖風細細。萬家楊柳青煙里。
戀樹濕花飛不起。愁無際。
和春付與東流水。
九十光陰能有幾。金龜解盡留無計。
寄語東城沽酒市。拚一醉。
而今樂事他年淚。
錄自陳廷焯《詞則》上。
網上所有的憤怒,基本都源于沒錢;
網上所有的勵志,基本目標都是掙錢;
網上所有曬的幸福,基本狀態都是有錢。
——2021中國互聯網現狀
無需任何投影軟件,Win10下電腦如何投影到電視上?
在同一個WiFi,操作系統為Win10下,無需安裝任何投影軟件,就可以直接將電腦內容投影到電視上。
不再需要注冊任何投影軟件,不再需要給任何投影軟件付費。
請參閱如下步驟進行:
苔 · 袁牧
白日不到處,青春恰自來。
苔花如米小,也學牡丹開。
苔的英文:
moss 苔、苔蘚
lichen [?la?k?n] 地衣
天下之患,最不可為者,名為治平無事,而其實有不測之憂。坐觀其變,而不為之所,則恐至於不可救;起而強為之,則天下狃於治平之安而不吾信。惟仁人君子豪杰之士,為能出身為天下犯大難,以求成大功;此固非勉強期月之間,而茍以求名之所能也。
天下治平,無故而發大難之端;吾發之,吾能收之,然后有辭於天下。事至而循循焉欲去之,使他人任其責,責天下之禍,必集於我。
昔者晁錯盡忠為漢,謀弱山東之諸侯,山東諸侯并起,以誅錯為名;而天子不以察,以錯為之說。天下悲錯之以忠而受禍,不知錯有以取之也。
古之立大事者,不惟有超世之才,亦必有堅忍不拔之志。昔禹之治水,鑿龍門,決大河而放之海。方其功之未成也,蓋亦有潰冒沖突可畏之患;惟能前知其當然,事至不懼,而徐為之圖,是以得至于成功。
夫以七國之強,而驟削之,其為變,豈足怪哉?錯不於此時捐其身,為天下當大難之沖,而制吳楚之命,乃為自全之計,欲使天子自將而己居守。且夫發七國之難者,誰乎?己欲求其名,安所逃其患。以自將之至危,與居守至安;己為難首,擇其至安,而遣天子以其至危,此忠臣義士所以憤怨而不平者也。
當此之時,雖無袁盎,錯亦未免於禍。何者?己欲居守,而使人主自將。以情而言,天子固已難之矣,而重違其議。是以袁盎之說,得行於其間。使吳楚反,錯已身任其危,日夜淬礪,東向而待之,使不至於累其君,則天子將恃之以為無恐,雖有百盎,可得而間哉?
嗟夫!世之君子,欲求非常之功,則無務為自全之計。使錯自將而討吳楚,未必無功,惟其欲自固其身,而天子不悅。奸臣得以乘其隙,錯之所以自全者,乃其所以自禍歟!
摘自《紐約時報》2021年5月25日
相關網站:
https://www.superworldapp.com/